Zum Inhalt springen
Coronar Sportverein Wilhelmshaven e.V.
Startseite
Über uns
Sportangebote
Termine
Aktuelles / Einladungen
Protokoll zur MV
Impressum
Datenschutzerklärung
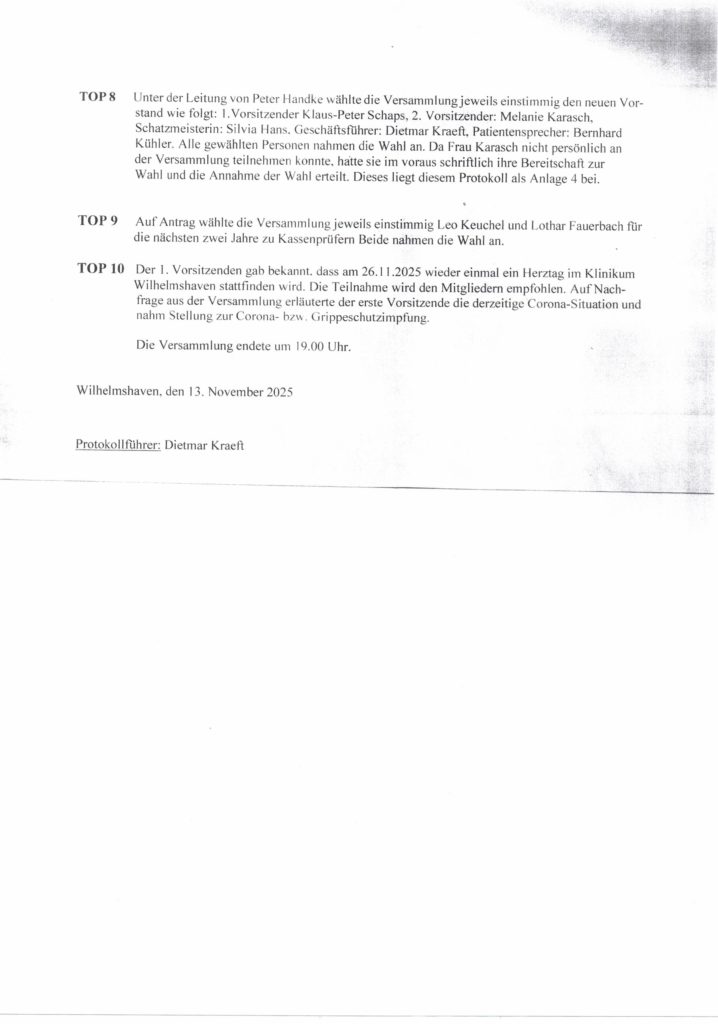
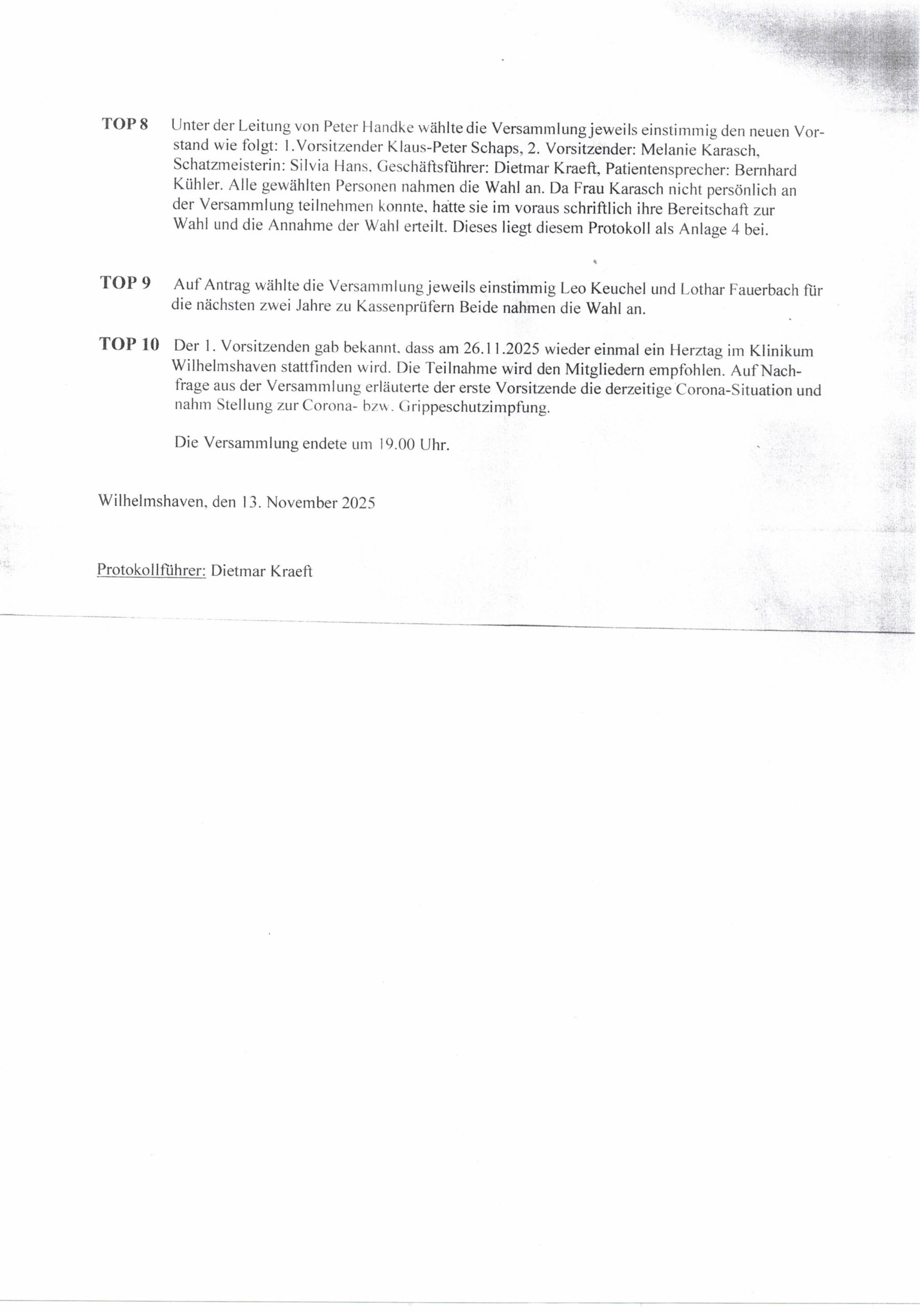
Protokoll zur MV